Luftdichte-Rechner
Hier können Sie die Luftdichte entweder über eine Näherungsformel für die Schweiz abschätzen oder über Messwerte berechnen lassen.
Resultat
Luftdichte = 1.124 kg/m³
Berechnet mit der Näherungsformel für:
Höhe über Meer = 1000 m.ü.M.
Theorie
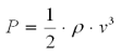
Die spezifische Leistung P des Windes kann durch folgende Formel ausgedrückt werden:

wobei
ρ = Luftdichte
v = Windgeschwindigkeit
Die Leistung des Windes und damit auch die Produktion der Windkraftanlage ist also proportional zur Luftdichte. Kältere Luft ist dichter als wärmere. Weil mit zunehmender Höhe die Luftdichte abnimmt, ist es gerade in einem gebirgigen Land wie der Schweiz wichtig, die Luftdichte in Ertragsprognosen für Windkraftanlagen zu berücksichtigen.
Näherungsformel für die Schweiz
Die Näherungsformel der Luftdichte ρ (der trockenen Luft) für die Schweiz wurde anhand von Messwerten verschiedener Meteostationen erstellt:

wobei
a = 1.247015
b = 0.000104
z = Höhe über Meer [m]
Quelle: Bundesamt für Energie, 1999: Planung von Windenergieanlagen - Leitfaden für die Schweiz
Exakte Dichtebestimmung der Luft
Die exakte Bestimmung der Luftdichte erfolgt über die Messung von Luftdruck, Temperatur und Luftfeuchtigkeit. Diese Werte können auch von nahe liegenden Meteostationen auf die Standorthöhe extrapoliert werden. Die entsprechenden Formeln finden sich unter folgendem Link: